PolySia: Eine neue bioidentische Gerüstsubstanz  
line decor
     ::  HOME      
 
line decor
 
 
SIALINSÄURE

 

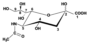
Sialinsäure / N-Acetyl-Neuraminsäure (Neu5Ac)

  • C9-Zucker
  • Carboxy-Gruppe an C1
  • N-acetyliert an C5

 

 

α2-8 verknüpfte Monomere der Neu5Ac bilden Polysialinsäure

 

 

 

 

 



   













Gefördert durch die